隧道磁电阻(TMR)效应的物理解释 - 磁传感器知识 - 设计资料
磁传感器知识

隧道磁电阻(TMR)效应的物理解释

发布日期:2012年01月04日    浏览次数:48810

在磁隧道结(MTJ s)中,TMR效应的产生机理是自旋相关的隧穿效应。MTJ s的一般结构为铁磁层 /非磁绝缘层 / 铁磁层( FM / I/FM)的三明治结构。饱和磁化时,两铁磁层的磁化方向互相平行,而通常两铁磁层的矫顽力不同,因此反向磁化时,矫顽力小的铁磁层磁化矢量首先翻转,使得两铁磁层的磁化方向变成反平行。电子从一个磁性层隧穿到另一个磁性层的隧穿几率与两磁性层的磁化方向有关。

        auto_1430           

                       (a) 两铁磁层平行排列                       (b) 两铁磁层反平行排列

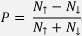
如图1所示,若两层磁化方向互相平行,则在一个磁性层中,多数自旋子带的电子将进入另一磁性层中多数自旋子带的空态,少数自旋子带的电子也将进入另一磁性层中少数自旋子带的空态,总的隧穿电流较大;若两磁性层的磁化方向反平行,情况则刚好相反,即在一个磁性层中,多数自旋子带的电子将进入另一磁性层中少数自旋子带的空态,而少数自旋子带的电子也将进入另一磁性层中多数自旋子带的空态,这种状态的隧穿电流比较小。因此,隧穿电导随着两铁磁层磁化方向的改变而变化,磁化矢量平行时的电导高于反平行时的电导。通过施加外磁场可以改变两铁磁层的磁化方向,从而使得隧穿电阻发生变化,导致TMR效应的出现。MTJ s中两铁磁层电极的自旋极化率定义为:

111

(1)

式中N↑和N↓分别为铁磁金属费米面处自旋向上和自旋向下电子的态密度。

由Julliere模型可以得到

2

(2)

或者

3

(3)

式中RP、RA 分别为两铁磁层磁化方向平行和反平行时的隧穿电阻, P, P2 分别为两铁磁层电极的自旋极化率。显然,如果P1 和P2 均不为零,则MTJ s中存在TMR效应, 且两铁磁层电极的自旋极化率越大,TMR值也越高。

在文献报道中,不同的学者对TMR值的定义不同,有的学者采用( 2)式的定义,但最近几年,大部分学者都采用(3)式的定义。

 

获取最新信息

重庆时时开彩官方网站-时时采彩计划软件-重庆时时开彩官网开奖查询-重庆时时开彩app下载-重庆时时采彩开奖号码走势图-重庆时时投注平台官网不定期地通过电子邮件向订阅用户发送最新消息,包括新品发布,应用方案,展会邀请等。

重庆时时开彩官方网站-时时采彩计划软件-重庆时时开彩官网开奖查询-重庆时时开彩app下载-重庆时时采彩开奖号码走势图-重庆时时投注平台官网微信公众号
微信公众号
重庆时时开彩官方网站-时时采彩计划软件-重庆时时开彩官网开奖查询-重庆时时开彩app下载-重庆时时采彩开奖号码走势图-重庆时时投注平台官网视频号
视频号